Theory of Light and Color

21. Color Classification Systems (Part 1): Importance of Color Specification and Types of Color Systems
(1) The Value of Objective and Quantitative Color Representation
Consider these three manufacturing cases where accurate color representation matters:
Case 1: Powdered Milk Formula Packaging
A company that manufactures and sells powdered milk for infants designs a container label that appeals to buyers by showing a picture of a healthy, lively baby. What happens if the picture is printed off-color and the baby looks sick? This color deviation could turn away potential buyers regardless of product quality.
Case 2: Manufacturing Colored Parts in Different Factories
Imagine an electronics manufacturer has a product with the same color for the front and back covers. If both covers are produced in the same factory, it is relatively easy to reduce color variations. But in many cases, the manufacturer orders the front cover from Company A and the back cover from Company B.
In this case, the finished color may be slightly different since both parts are manufactured in different places. The difference will be especially clear if the parts are adjacent to each other.
Case 3: Agriculture
Fruits and vegetables are sorted and shipped according to a certain desired color range because shape and color affect the selling price (added value).
Whether the definition of acceptable color is strict like in Cases 1 and 2, or a broader range like in Case 3, you need a method to evaluate and display colors objectively and accurately, that is, a color system. ≪1≫
(2) Types of Color Systems
Various color systems have been developed and used to display color objectively and quantitatively.
Color displaying methods can broadly be divided into color naming systems, color chart systems, and color mixing systems.
(Color naming systems and color chart systems (color order systems) are sometimes collectively called color appearance systems.)

(3) Color Naming System
A color naming system refers to color representation in our common language. Even without special knowledge of color, we can communicate in our daily lives without much difficulty based on common concepts of color. There are two types of color names: conventional and systematic.
Conventional color names are names derived from colors found in nature and deeply rooted in the history and culture of countries and regions (e.g., brown, amber, reddish brown, madder, etc.). ≪2≫ Associating conventional color names to colors is intuitive, and there can be variations between individuals. In addition, not all colors in the world have a conventional name, and different names may coexist for a specific color.
Systematic color names were developed to solve such problems. There are 10 chromatic colors (red, yellow-red, yellow, yellow-green, green, blue-green, blue, blue-purple, purple, and red-purple) and 3 achromatic colors (white, gray, and black) as base colors. It is a method of objectively expressing all colors in words without omission by adding specific predetermined modifiers related to value (lightness) and chroma (saturation) (JIS 8102). For instance, the conventional color name "brown" can be expressed as "dark gray yellow-red" in the color naming system. ≪3≫
(4) Color Chart System (Color Order System)
The term 'color chart system' has several meanings. It is generally interpreted as a set of flat color samples arranged according to objective and quantitative color perception.
Among color charts, the most well-known is the Munsell color system. Colors are arranged three-dimensionally so that they change visually and perceptually at equal intervals of hue, value, and chroma (the three psychological attributes of color) as independent variables. It displays colors objectively by assigning symbols and numbers according to three-dimensional color arrangements. The system is simple and intuitive, and it is widely used around the world. This color chart system applies only to the object color, not the light source color. It is sometimes called the color order system, which was suggested by the International Colour Association (AIC) around 1980.
The Munsell and Ostwald color systems are the most basic color charts. Other systems include the DIN, NCS, and PCCS color systems.

(5) Color Mixing Systems
The color mixing system was developed from research into human color recognition. As explained in Chapter 11, the human eye has three types of cone photoreceptor cells on the retina that receive stimuli and send them to the brain. Then the brain recognizes colors from the ratio of the three types of stimuli. The color mixing system is developed based on this mechanism, and the name comes from additive color mixing.
The representative color mixing system is the CIE color system specified by the International Commission on Illumination (abbreviated as CIE for its French name, Commission internationale de l'éclairage).
Since the CIE color system displays colors according to the strength of stimulus to the cone cells, it can express both object and light source colors, unlike color chart systems.

There are several CIE color systems. The most basic one is the CIE XYZ color system. The XYZ color system can display the result of additive color mixing by a straight line according to the color mixing ratio on the chromaticity diagram. This makes it useful for describing light source colors. ≪4≫
The limitation is that the color difference space is non-uniform, meaning the differences in color and the distance in the color space change depending on color types.
The CIELAB and CIELUV color systems were developed to uniformly display color differences by mathematically transforming coordinates from the CIE XYZ color system. These various CIE color systems are widely used in academic societies and industries around the world. ≪5≫
The next chapter will cover specific features of the Munsell color system (color chart system) and CIE color system (color mixing system).
Comment
≪1≫ Color difference management
The simplest way to manage color differences is to use a limited color sample. By preparing a sample that gives a boundary for judging multiple color differences in each direction, the color of the test piece can be compared with these limited samples to judge quality. This method is common since it is easy and inexpensive.
The human eye is sensitive to slight differences in colors, especially those that are adjacent to each other. At first glance, the limited sample method can manage strict color differences with a narrow tolerance, but in practice, it is more common for less strict applications due to:
・Individual differences in color vision
・Changes in one's ability to evaluate color
・Challenges in managing illumination
・Changes in the limited sample over time
A colorimeter is a useful tool to manage color differences objectively and quantitatively because it can easily and stably reproduce color evaluation conditions without relying on visual inspection and can also display colors to a precise level.
≪2≫ Conventional color names
According to JIS Z 8102:2001, there are 168 conventional color names specified.
≪3≫ Systematized color names for light source color
For the basic names of light source colors, there are 10 chromatic colors (red, yellow-red, yellow, yellow-green, green, blue-green, blue, blue-purple, purple, red-purple, and pink) and 1 achromatic color (white). (JIS Z 8110:1995)
≪4≫ Compatibility between the CIE-XYZ color system and additive color mixing
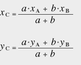
If mixing two types of colors A ( xA, yA ) and B ( xB, yB ) on the xy chromaticity diagram with the ratio of a:b results in chromaticity point C ( xC, yC ), the coordinate point is obtained by dividing AB by the ratio of b : a. That is,

This indicates that the chromaticity diagram is mathematically a linear space, which by nature is well suited to the physical properties of additive color mixing of colored light. This is a major reason why the chromaticity diagram is widely used in the illumination field for light source colors.

≪5≫ Japanese Industrial Standards for CIE Color System(JIS)
The CIE XYZ color system is specified in JIS Z 8701:1999.
The CIELAB color system and CIELUV color system are specified in JIS Z 8729:2004.
Color Classification Systems (Part 1)
Importance of Color Specification and Types of Color Systems

